1
ちなみに過マンガン酸カリウムは硫酸を加えた水溶液中で酸化剤としてはたらく。 硫酸は電離して H \text {H}^ H ができるから,酸化剤のイオン反応式に出てくる H \text {H}^ H はここから来てる。 シュウ酸ってはじめて聞いた。 日常生活では 塩基性条件では開裂は起こらず1,2ジオールが生成します。このように過マンガン酸カリウムによる酸化反応がTLCの呈色に関わっていると考えられます。 過マンガン酸カリウム発色試薬の作り方 過マンガン酸カリウム(KMnO4) 300 mg;
シクロヘキセン 過マンガン酸カリウム 反応機構
シクロヘキセン 過マンガン酸カリウム 反応機構- 過マンガン酸カリウムについて 危険物取扱者の試験で、次のような問題がありました。「(第1類危険物の)過マンガン酸カリウムとアルカリが反応すると酸素を発生する 」 とりあえず×にしたのですが、合ってましたでしょうか?過マンガン酸カリウム(KMnO 4)は、マンガン 遷移金属第7族(VIIB) 、酸素およびカリウムによって形成された無機化合物である。濃い紫色のガラス質の固体です。それらの水溶液も濃い紫色です。これらの溶液は、大量の水で希釈されるにつれて紫色になりません。
シクロヘキサノンについて シクロヘキサノンをアルドール反応させ その後エ Okwave
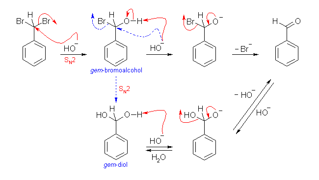
「シクロヘキセンへの臭化水素酸の付加反応」をとりあげます。この反応はどのような機構で起こっているのでしょうか?電子の矢印で反応機構を書くプロセスを、できるだけ詳細に解説してみます。 step 0 まず考えるべきは、どれとどれが反応するのか?反応させ,ア ルキルシクロヘキサノール(皿)を50%収 率で得,皿 を脱水してアルキルシクロヘキセン(iv)(80%)と した。 この際 種々の脱水法を試みたが,ホ ウ酸法によるものがもっともよく,つ いでリン このものは過マンガン酸カリ水溶液を脱色し,二 重結 合の存在を示した。さらに,irス ペクトルは図2に 示 す通りで,1ク ロロシクロヘキセン,3ク ロロシクロヘ キセンとは明らかに異なり,4プ ロモシクロヘキセン のirス ペクトルと極めてよく一致することを
アルケンへのアルコールの付加:反応機構 h–och3h–oso3h hoch3 h o–so3h hoch3 h ch3chch2 ch3chch2 h h–och3 ch3chch2 och3h h h–och3 ch3chch2 och3h hoch3 h 酸触媒はアルコールと反応して「roh2」を生成する 「roh2」がアルケンに h を与えてカルボカチオンを作る (それ以降は水の付加と同じ) 22 8) 酸化的開裂反応 YAKUTIK ~薬学まとめました~ 薬学まとめました トップページ > 有機化学まとめました > 2-2 アルケン・アルキン > 過マンガン酸カリウムは強い酸化剤として、実験室および工業の場面で数多くの種類の酸化反応に用いられている。 用いる溶液の濃度である程度酸化作用を調節でき、例として薄い KMnO 4 水溶液はアルケンを 1,2ジオール(グリコール)に酸化する。 より濃い溶液は芳香環のメチル基などの
シクロヘキセン 過マンガン酸カリウム 反応機構のギャラリー
各画像をクリックすると、ダウンロードまたは拡大表示できます
2k基礎有機 章末問題こたえ | ![]() 2k基礎有機 章末問題こたえ | ![]() 2k基礎有機 章末問題こたえ |
2k基礎有機 章末問題こたえ | 2k基礎有機 章末問題こたえ | 2k基礎有機 章末問題こたえ |
2k基礎有機 章末問題こたえ | ![]() 2k基礎有機 章末問題こたえ | ![]() 2k基礎有機 章末問題こたえ |
![]() 2k基礎有機 章末問題こたえ | 2k基礎有機 章末問題こたえ | 2k基礎有機 章末問題こたえ |
![]() 2k基礎有機 章末問題こたえ | ![]() 2k基礎有機 章末問題こたえ | 2k基礎有機 章末問題こたえ |
2k基礎有機 章末問題こたえ | 2k基礎有機 章末問題こたえ | 2k基礎有機 章末問題こたえ |
![]() 2k基礎有機 章末問題こたえ | 2k基礎有機 章末問題こたえ | 2k基礎有機 章末問題こたえ |
2k基礎有機 章末問題こたえ | 2k基礎有機 章末問題こたえ | ![]() 2k基礎有機 章末問題こたえ |
2k基礎有機 章末問題こたえ | 2k基礎有機 章末問題こたえ | ![]() 2k基礎有機 章末問題こたえ |
![]() 2k基礎有機 章末問題こたえ | 2k基礎有機 章末問題こたえ | 2k基礎有機 章末問題こたえ |
![]() 2k基礎有機 章末問題こたえ | 2k基礎有機 章末問題こたえ | ![]() 2k基礎有機 章末問題こたえ |
![]() 2k基礎有機 章末問題こたえ | 2k基礎有機 章末問題こたえ | 2k基礎有機 章末問題こたえ |
2k基礎有機 章末問題こたえ | ![]() 2k基礎有機 章末問題こたえ | 2k基礎有機 章末問題こたえ |
2k基礎有機 章末問題こたえ | ![]() 2k基礎有機 章末問題こたえ | ![]() 2k基礎有機 章末問題こたえ |
2k基礎有機 章末問題こたえ | 2k基礎有機 章末問題こたえ | 2k基礎有機 章末問題こたえ |
![]() 2k基礎有機 章末問題こたえ | 2k基礎有機 章末問題こたえ | 2k基礎有機 章末問題こたえ |
2k基礎有機 章末問題こたえ | 2k基礎有機 章末問題こたえ | 2k基礎有機 章末問題こたえ |
![]() 2k基礎有機 章末問題こたえ | ![]() 2k基礎有機 章末問題こたえ | ![]() 2k基礎有機 章末問題こたえ |
![]() 2k基礎有機 章末問題こたえ | 2k基礎有機 章末問題こたえ | 2k基礎有機 章末問題こたえ |
2k基礎有機 章末問題こたえ | ![]() 2k基礎有機 章末問題こたえ | 2k基礎有機 章末問題こたえ |
2k基礎有機 章末問題こたえ | 2k基礎有機 章末問題こたえ | 2k基礎有機 章末問題こたえ |
![]() 2k基礎有機 章末問題こたえ | 2k基礎有機 章末問題こたえ | ![]() 2k基礎有機 章末問題こたえ |
![]() 2k基礎有機 章末問題こたえ | 2k基礎有機 章末問題こたえ | 2k基礎有機 章末問題こたえ |
![]() 2k基礎有機 章末問題こたえ | ![]() 2k基礎有機 章末問題こたえ | ![]() 2k基礎有機 章末問題こたえ |
![]() 2k基礎有機 章末問題こたえ | 2k基礎有機 章末問題こたえ | 2k基礎有機 章末問題こたえ |
![]() 2k基礎有機 章末問題こたえ | ![]() 2k基礎有機 章末問題こたえ | 2k基礎有機 章末問題こたえ |
2k基礎有機 章末問題こたえ | 2k基礎有機 章末問題こたえ | 2k基礎有機 章末問題こたえ |
2k基礎有機 章末問題こたえ | ![]() 2k基礎有機 章末問題こたえ | 2k基礎有機 章末問題こたえ |
![]() 2k基礎有機 章末問題こたえ | ![]() 2k基礎有機 章末問題こたえ | 2k基礎有機 章末問題こたえ |
2k基礎有機 章末問題こたえ | ![]() 2k基礎有機 章末問題こたえ | ![]() 2k基礎有機 章末問題こたえ |
2k基礎有機 章末問題こたえ | 2k基礎有機 章末問題こたえ | 2k基礎有機 章末問題こたえ |
![]() 2k基礎有機 章末問題こたえ | ![]() 2k基礎有機 章末問題こたえ | 2k基礎有機 章末問題こたえ |
2k基礎有機 章末問題こたえ | 2k基礎有機 章末問題こたえ | 2k基礎有機 章末問題こたえ |
![]() 2k基礎有機 章末問題こたえ | 2k基礎有機 章末問題こたえ | 2k基礎有機 章末問題こたえ |
2k基礎有機 章末問題こたえ | 2k基礎有機 章末問題こたえ |
1 過マンガン酸イオンと亜硫酸水素イオンの左右収支の合った反応式を書きなさい。 2 アジピン酸は工業的にどのような製品に使用されているか。製品名および化学反応式を書きなさい。2 シクロヘキセンと50%硫 酸との反応 i 反応温度50。c,70。cに おける反応時間の影響 図1 分 離 法 図2 シクロヘキセンと60%硫 酸との反応における 反応時間の影響 h2so4/シ クロヘキセン モル比=1,反
Incoming Term: シクロヘキセン 過マンガン酸カリウム 反応機構,










































0 件のコメント:
コメントを投稿